
录制启动视频
3月14日,山东师大附中第五届数学节拉开帷幕,数学组教师郁蕾、管清艳和李现国分别在高一、高二和高三的空中课堂直播课中举行了启动仪式。
新冠肺炎疫情阻断了正常开学,“停课不停学”,附中师生们通过网络课堂开展正常的教学活动。结合实际,本届数学节的主题设定为“线上数学节,战疫做贡献”。数学教研组结合防疫实际组织开展了丰富多彩的“线上数学节”活动。
高一年级旨在培养和激发学生的数学学习兴趣,老师们结合新教材中的“阅读与思考”栏目中的数学历史文化知识,为学生设计了数学手抄报活动。高二年级的学生逻辑思维能力日趋完善,每个人心中对数学都有自己的理解,因此老师们为学生设计了一个多选参与题,可以制作“我的数学网课”手抄报、数学思维导图,也可以制作导数讲题比赛微视频。高三年级的学生迎接高考,规范答题是获胜的必备法宝,鉴于此,高三年级组织开展“一人一好题”活动,选择自己复习过程中积累的启发性好题或者妙题,按照考试规范答题的要求规范作答,展示优美规范的答卷,希望在与同学的对比中取长补短,提升自己。各项活动一经推出,受到了学生们的热烈欢迎,各班级积极组织参与,优秀作品层出不穷。
数学组在数学节期间组织了形式多样的教研活动。高一年级为了帮助学生更好的适应立体几何的学习,发挥主观能动性科学筹备,在线教研、制作立体几何模型、立体几何动态演示课件等。高二年级备课组长孔蕊结合疫情精心撰稿、制作课件,为学生们录制了数学节启动小视频,阐述了数学在疫情中的应用。高三年级举行在线研讨会,结合实际精准教研,为学生高三模拟考做充分准备,为学生们的高考保驾护航。
第五届数学节活动也是学校庆祝建校70周年的系列活动之一,旨在通过开展多元化学科特色的实践活动,向学生们普及数学知识,为学生创设展示学科才能的舞台,调动学生们学习数学的积极性。我们期待满满的收获,为学校70周年校庆增添亮丽的风采。
撰稿:王介花 摄影:汤菁 文字编辑:王喜刚 网络编辑:杨华

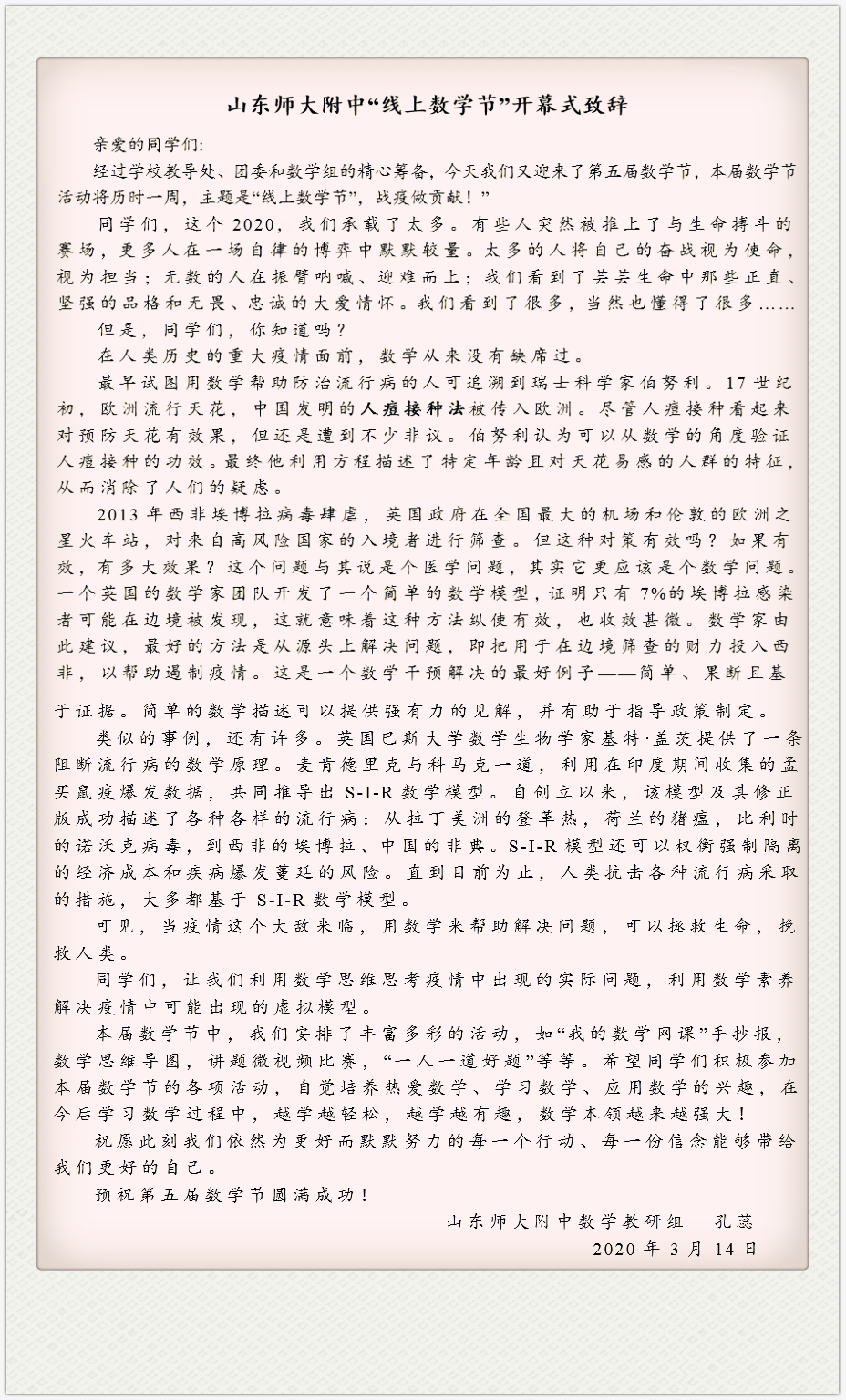
开幕式致辞稿

空中课堂授课

学生收看数学节启动仪式

高一年级教师在线视频会议