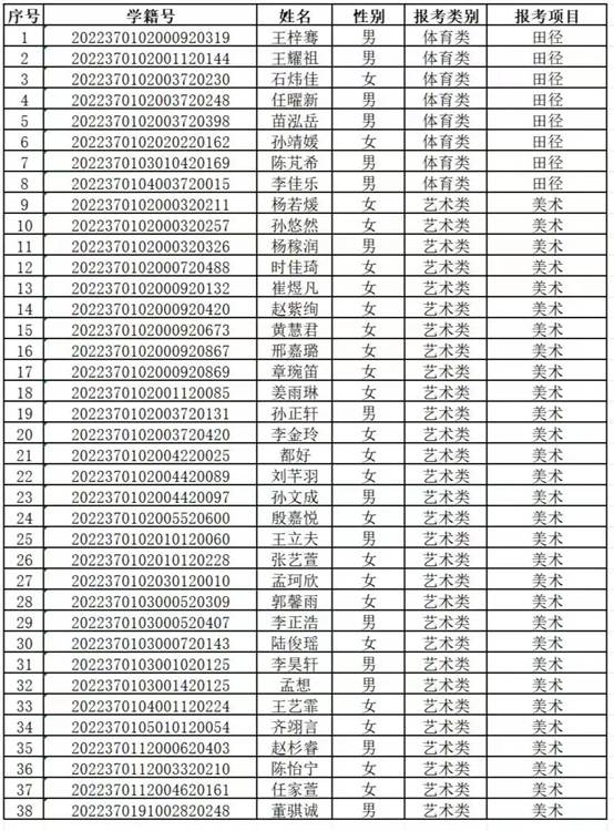
根据《济南市2025年高中阶段学校招生工作意见》和《2025年济南市普通高中学校招收艺体特长生工作方案》,报考我校的美术考生经学校加试和济南市统一专业测试,田径考生经济南市统一专业测试,确定下列考生通过我校专业测试,现予公示,公示期3天,欢迎社会监督。监督电话:86187156,86187256。
公示结束后,请通过专业测试的考生或家长,持考生专业测试准考证、考生身份证,于7月3日上午8:00-11:00,到我校政教处(山师北街3号)领取专业测试合格证。
特长生专业测试合格名单
(名单以项目和学籍号排序)

网络编辑 | 王琳琳
终审 | 杨增良、王彬